
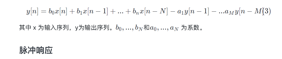
其中 x 为输⼊序列,y为输出序列。

将单位脉冲信号输⼊到⼀个 LTI 滤波器中得到的结果,我们称之为脉冲响应,通常表示为h(n)





从图可以看出,这个滤波器抑制信号中的低频信息,增益⾼频信息。在
(在44.1kHz 采样率下为 17.3kHz)增益最⼤。 对于特别⾼和特别低的频率信息,这个滤波器在相位上只有很⼩的影响。

Hocassian·2022-06-13·818 次阅读

其中 x 为输⼊序列,y为输出序列。

将单位脉冲信号输⼊到⼀个 LTI 滤波器中得到的结果,我们称之为脉冲响应,通常表示为h(n)





从图可以看出,这个滤波器抑制信号中的低频信息,增益⾼频信息。在
(在44.1kHz 采样率下为 17.3kHz)增益最⼤。 对于特别⾼和特别低的频率信息,这个滤波器在相位上只有很⼩的影响。
